2014年,强生以17.5亿美元收购了位于加州的生物制药公司Alios BioPharma。这项交易将可以让强生获得一系列潜在的病毒感染治疗药物,包括口服药物ALS-008176。这款抗病毒治疗药物有可能成为一款新类型药物,用于婴儿呼吸道合胞病毒(RSV)治疗,此前,该药物正处于II期临床研究中。
但由于试验结果欠佳,强生近日已经宣布终止其II期试验,并评估该药物是否还有继续研发的价值。
ALS-008176是RSV复制抑制剂ALS-008112的一种口服生物可利用前体药物,ALS-008112是一种胞嘧啶核苷类似物,通过作用于病毒聚合酶抑制RSV复制;即使呼吸道细胞已经被RSV感染,ALS-008176仍能够有效抑制RSV复制。这也意味着,即便在RSV感染的较晚阶段用药,该药仍能够发挥抗病毒,有望成为RSV感染临床治疗中一种安全有效的药物。
美国疾病控制和预防中心的统计显示,在美国,RSV是1岁以下婴幼儿肺部气管炎症以及肺炎的最常见病因,平均每年有150万名五岁以下儿童因为RSV感染而需要就医。在婴幼儿群体中,RSV是导致严重呼吸道疾病的主要原因,同时也是工业化国家患者住院的最常见原因。此前公布的IIa期研究奠定了ALS-008176在健康成人群体中抗病毒作用的人体概念验证,同时也揭示了该药在自然感染患者临床治疗中的潜力。
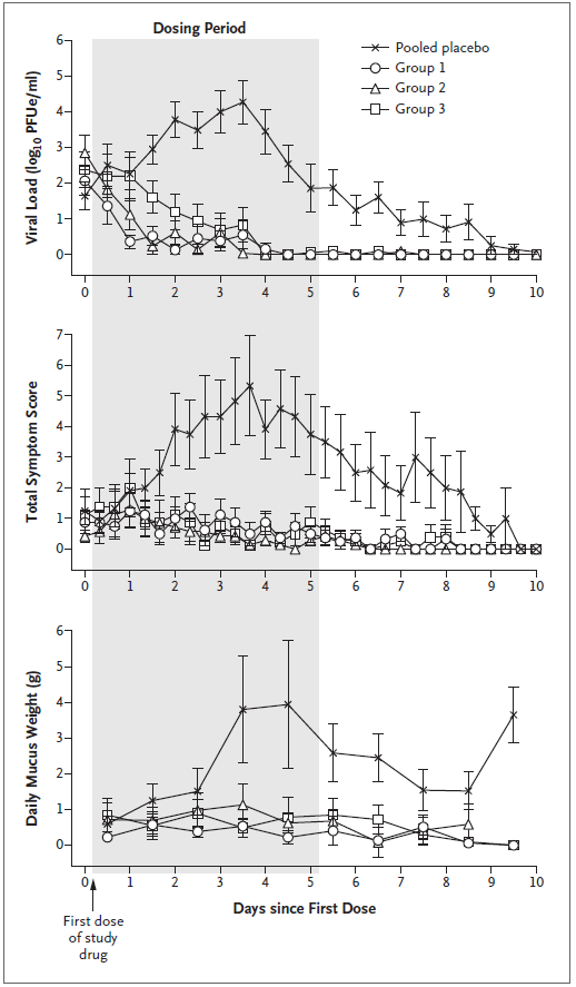
强生之所以收购该公司,主要也是由于该药物发布的IIa期研究积极结果。该研究为一项随机双盲对照临床试验,将RSV接种于62名健康人群。然后将研究对象随机分为两组:一组接受口服核苷类似物ALS-008176,一组接受安慰剂。确定研究对象RSV感染成功后12小时或接种RSV后6天,受试者开始服用ALS-008176或安慰剂。用药时间为5天,每12个小时给药一次。在整个为期28天的研究期间,测量所有研究对象的病毒载量、疾病的严重程度、耐药性和安全性,试验开始前就已开始此测量。主要终点为病毒载量AUC曲线下面的面积,是在研究对象接种RSV后第12天内首次给药之前即刻进行评估。
研究结果发现,与安慰剂相比,接受ALS-008176治疗的研究对象其病毒载量显著降低、病毒的清除率明显更快。此外,PCR分析显示,在安慰剂组病毒载量达到峰值时,接受ALS-008176的三个治疗组的平均病毒载量、AUC症状评分以及呼吸道分泌物总量显著降低于安慰剂组。其抗病毒活性在两个负荷量较大的组中RSV的清除速度最快,清除率最大,且病毒载量较安慰剂组下降了85%~88%。研究并未出现严重的不良反应,也没有必要过早停止研究药物。
ALS-008176IIa期研究病毒载量、症状评分和每日粘液重量随时间的变化
然而在收购后,该药物得到的试验结果却无法令人满意。医药巨头强生在美国证券交易委员会的一份文件中透露,公司第三季度计入了一笔6.3亿美元的减损支出,这笔支出与其收购的Alios Biopharma的关键药品有关。公司还警告称,可能会对该资产进行进一步减值。
强生今年稍早暂停了ALS-008176的IIb期临床试验,等待第二季度试验结果的分析结果。强生表示,公司在第三季度收到了更多信息,促使其重新评估ALS-008176作为17亿美元研发资产的账面价值。在完成分析后,强生将重新评估该药物在制品研发资产中的价值。如果开发时间表明显延迟或被放弃,公司可能会产生减值费用。
强生发言人表示,该药物的IIb阶段的试验已经被废弃。这一决定是由于对新的临床前数据的持续分析以及进行进一步临床前研究的需要。预计这些数据的生成和分析仍需要额外的时间。(新浪医药编译/范东东)
News
相关文章
2023-09-07
2021-10-07
2021-10-08
2021-10-14
2021-10-15
2021-10-19
2021-10-20
2021-10-22
2021-10-22
2021-10-22